휨 부재 최소철근량 기준 2022 변경점 정리
by ✯휨부재의 최소 철근량 기준이 2022년에 변경되었으나 실무적으로 아직 업데이트 안되는 경우가 보이고 있어서 정리할 겸 메모해 본다.
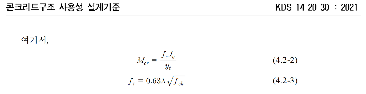
휨부재의 최소철근비는 기존(2021년까지)에는 아래의 콘크리트 구조기준을 따랐다.
(아래의 식은 ΦMn > 2.5Mcr 에서 비롯되었다고 한다. 식이 어떻게 유도되었는지까지는 확인하지 못하였다.)
이를 철근비 형태로 정리하면 요렇게 된다.
그리고 아래는 KDS 14 20 20 : 2022 [콘크리트 휨 및 압축 설계기준, 2022년 1월 개정] 이다.
ΦMn ≥ 1.2 Mcr 로 바뀌었는데
기존 콘크리트 구조기준의 최소휨인장철근량 산출 식이 ΦMn ≥ 2.5 Mcr 에서 비롯되었다는 것을 고려하면
최소철근량이 약 절반으로 줄어들었다고 봐도 무방할 듯 하다.
'규정및지침' 카테고리의 다른 글
강재 표기변경(2018) 요약 (0) | 2023.06.14 |
---|---|
지붕틀::지붕틀의 범위란 (0) | 2023.05.31 |
2022년 변경 풍하중 기준 (0) | 2023.05.18 |
가설구조물에 적용하는 악천후 풍속 기준 (0) | 2023.03.14 |
건축물 해체공사 감리자 자격기준의 모호성 (0) | 2023.03.10 |
블로그의 정보
구조진단노트
✯