중국 내진기준에 따른 밑면전단력 산정 예
by ✯중국 내진설계기준 GB 50011-2010 에 의한 구조물의 밑면전단력 산정 예제가 Bentley.com에 수록되어 있어서 따라 풀어보고 검산해 본다.
※ GB 50011-2010 (Code for Seismic Design of Buildings)영문버전은 아래에 비공개백업해둔다.
가정조건은 아래와 같다.
- 지진발생빈도 : 잦음(Frequent)
- 지진구역 : Group 2
- 설계지진강도 : 8
- 부지등급 : 2
- 감쇠비 : 0.05
- 한 층의 중량은 280 kN 이고, 모든 층의 중량은 같다.



GB 50011-2010 부록에 중국 각 지역에 대한 Intensity 와 가속도가 기재되어 있다. 특정 시 안에도 구 별로 가속도 값이 다른 경우가 있으니 주의.
우리나라로 치면 아래와 같은 개념일 텐데



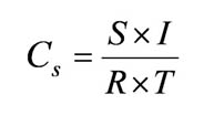
G_Eq 가 유효중량으로 우리나라 개념으로 치면 W이고, F_EK는 V가 되겠다.
중국내진설계기준상으로는 이 Cs 응답계수를 산출하는 방식이 우리나라 기준과 크게 상이했다.
이하는 해당 예제를 GB50011-2010 코드와 직접 확인하면서 풀어 본 것이다.
밑면전단력 산정
지반에 따른 Site Classification은 아래와 같은데 지반이 안좋고 기반암 심도가 10m 정도라면 Site Category가 2가 된다.




참고로 Midas Gen에서 Add/Modify Seismic Load Specification 에서 코드를 China(GB50011-2010)으로 선택하면 'Near Source Category'라는 항목이 나오고 1,2,3 중에 하나를 선택해야 하는 데 이것이 바로 위 표 5.1.4-2 의 Group 번호이다. (용어가 너무 다른데.....;; 지진구역이 좀 더 나은 용어인 것 같다)
어쨋든 우리나라 개념으로 응답계수 Cs를 알려면 위 예제에서 a1 값을 구해야 한다.

조건에서 지진빈도가 Frequent이고 지진구역이 Group 2, Intensity가 8 이므로 위의 표 5.1.4-1 에서 a_max 는 0.16 이 된다.
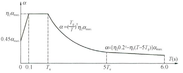
아래는 지진영향계수 곡선이다.

건물의 주기가 0.1~Tg 구간이냐, Tg ~ 5 Tg 구간이냐, 5Tg~6.0 구간이냐에 따라 적용하는 식이 다르다.
Site Classification (Category)가 2 이고 지진구역이 Group2 이므로 위의 표 5.1.4-2 에 의해 Tg = 0.4 (s) 이다.
감쇠비가 0.05 이므로 아래 식에 의해 γ = 0.9 가 된다.

η2 는 Damping Adjustment Factor로 아래의 식으로 구한다. 이번경우는 η2 = 1.0 이다.

구조물 주기는 구조해석 프로그램에 의해 나와야 하는데 이번 예제에서는 Staad에 의해 0.685(s) 로 주어졌다고 되어 있다.

Tcalc = 0.685 s 이므로 위의 그래프에서 Tg~5Tg 구간에 걸리므로 아래 식으로 a1 값을 구하게 되었다.

그래서 응답계수 (우리나라 개념으로 치면 Cs)는 0.099 가 되었다.
∴ 밑면전단력은 0.099 * 714 = 70.686 kN 으로 구해졌다.
만약 국내설계라면 주기는 아래와 같이 간략식으로 구할 수 있다. 이번예제로 하면 T = 0.315 s 가 나온다. (두 배 이상 차이가 나지만 어쩔 수 없다. 주기를 구하기 위해 구조해석모델링을 하지 않는다면 이 간략식을 쓸 수 밖에 없다.)

중국기준에서 건물의 주기를 개략적으로 산정하는 방법은 찾아내지 못했기 때문에 구조해석 프로그램에서 모델링하여 주기를 산출하는 방법이 유효할 것 같다.
국내 간략식으로 구한 T=0.315 s를 주기라고 가정하고 이 예제를 다시 푼다면, 위의 그래프에서 0.1 < T < Tg 구간에 해당하게 되기 때문에 a1 = η2 X a_max 가 되어 a1 = 1.0 X 0.16 = 0.16 의 응답계수 Cs를 가지게 된다.
각 층별 층전단력 산정
각 층별 층전단력 산정은 아래의 과정에 의한다.

0.5 = 3360/6720, 0.333=2240/6720, 0.167=1120/6720 이고
Fi는 아래의 개념을 먼저 봐야 한다. (중요 ★★)




Fi를 구하기 전에 δ_n (Additional Seimic Action Factor at Top of the Building, 건물최상층에서의 추가지진응답계수)를 먼저 산출해야 한다. 여기서는 Tg가 0.4 (s) 이므로 0.08 T + 0.01 = 0.08*0.685+0.01 = 0.0648 (s)가 된다.

그럼 Fi 는 구할 수 있게 된다.
그리고 ΔFn 도 위 식 5.2.1-3 에 의해 δn X F_EK = 0.0648 * 70.686 = 4.58 kN 이 산출된다. (소숫점 문제로 아래의 표의 값이랑 살짝 다르지만 무시해도 될 수준)
ΔFn은 건물 최상층에서의 추가지진응답이다. 즉, 아래 표에서 ΔFn 값이 최상층인 3rd에만 있는 이유이다.

여기서 각 층별 층전단력 Vi는 아래와 같이 구할 수 있다.
3rd Vi = 33.053 + 4.580 = 37.633 kN
2nd Vi = 37.633 + 22.035 = 59.668 kN
1st Vi = 59.668 + 11.018 = 70.686 kN
이를 엑셀로 검산한 결과는 아래와 같다.

소숫점 문제 등으로 예제의 표 값과 살짝 다르지만 구하는 절차는 이게 맞다.
지금 이렇게 각 층별 층전단력을 구한 것은 최초의 밑면전단력인 F_EK를 어떻게 분배하느냐에 대한 방법이다.
아래는 위를 검산한 엑셀 파일이다. (비공개백업)
'구조계산' 카테고리의 다른 글
| 외줄비계,가설울타리 구조안전성 검토 서식 (0) | 2025.02.03 |
|---|---|
| [MIDAS]동해석시 Tension-Only를 쓸 수 없다 (0) | 2024.02.28 |
| 건축구조 슬래브 모델링을 안해도된다?하면안된다? (0) | 2023.08.25 |
| MIDAS블로그::지반반력계수의 의미와 산정방법 (1) | 2023.07.18 |
| Midas :: 슬래브의 단면력 산출시 유의점 (0) | 2023.07.13 |
블로그의 정보
구조진단노트
✯